已阅
当前位置:首页>产品中心>杂质>雷迪帕韦杂质
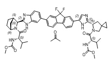
雷迪帕韦杂质
产品名称 CAS 结构式 项目编号 杂质研究
雷迪帕韦丙酮合物 1441674-54-9 雷迪帕韦丙酮合物.jpg 311-1 311-1A ...
(1R,3S,4S)-2-(叔丁氧羰基)- 3-(6-(硼酸频哪醇酯)-1H-苯并[D]咪唑-2-基)-2-氮杂双环[2.2.1]庚烷 1256387-87-7 (1R,3S,4S)-2-(叔丁氧羰基)- 3-(6-(硼酸频哪醇酯)-1H-苯并[D]咪唑-2-基)-2-氮杂双环[2.2.1]庚烷.jpg 526-1 526-1A ...
(1R,3S,4S)-3-(6-溴-1H-苯并咪唑-2-基)-2-氮杂双环[2.2.1]庚烷-2-羧酸叔丁酯 1256387-74-2 QQ截图20160406095528.jpg 526-10 526-10A...
1-(7-溴-9,9-二氟-9H-芴-2-基)-2-氯乙酮 1378387-81-5 1-(7-溴-9,9-二氟-9H-芴-2-基)-2-氯乙酮.jpg 527-1 527-1A ...
(S)-5-(叔丁氧羰基)-5-氮杂螺[2.4]庚烷-6-羧酸 1129634-44-1 (S)-5-(叔丁氧羰基)-5-氮杂螺[2.4]庚烷-6-羧酸.jpg 528-1 528-1A ...
(S)-5-(叔丁氧羰基)-5-氮杂螺[2.4]庚烷-6-羧酸钾 1441673-92-2 (S)-5-(叔丁氧羰基)-5-氮杂螺[2.4]庚烷-6-羧酸钾.jpg 528-10 528-10A
(S)-5 -叔丁氧羰基-6-(5 - (7 - 溴-9,9-二氟-9H-芴-2-基)-1H-咪唑-2-基)-5-氮杂螺[2.4]庚烷 1441670-89-8 (S)-5 -叔丁氧羰基-6-(5 - (7 - 溴-9,9-二氟-9H-芴-2-基)-1H-咪唑-2-基)-5-氮杂螺[2.4]庚烷.jpg 529-1 529-1A ...
江苏威凯尔 Top